Calculate Km Vmax Substrate Concentration . km is a substrate concentration and is the amount of substrate it takes for an enzyme to reach vmax/2. Km and vmax are determined by incubating the enzyme with varying concentrations of. Velocity as a function of substrate concentration [s] (m) velocity (m/min) to reliably estimate both k m and. the general approach is to add a known concentration of substrate to the enzyme and to determine the initial. how to determine km and vmax. experiment 3, part d: km is the michaelis constant and is the substrate concentration that gives rise to 50% vmax.
from www.numerade.com
Velocity as a function of substrate concentration [s] (m) velocity (m/min) to reliably estimate both k m and. experiment 3, part d: km is the michaelis constant and is the substrate concentration that gives rise to 50% vmax. the general approach is to add a known concentration of substrate to the enzyme and to determine the initial. how to determine km and vmax. Km and vmax are determined by incubating the enzyme with varying concentrations of. km is a substrate concentration and is the amount of substrate it takes for an enzyme to reach vmax/2.
SOLVED An enzyme catalyzes a reaction with a Km of 7.00 mM and a Vmax
Calculate Km Vmax Substrate Concentration km is a substrate concentration and is the amount of substrate it takes for an enzyme to reach vmax/2. how to determine km and vmax. km is the michaelis constant and is the substrate concentration that gives rise to 50% vmax. the general approach is to add a known concentration of substrate to the enzyme and to determine the initial. experiment 3, part d: Velocity as a function of substrate concentration [s] (m) velocity (m/min) to reliably estimate both k m and. Km and vmax are determined by incubating the enzyme with varying concentrations of. km is a substrate concentration and is the amount of substrate it takes for an enzyme to reach vmax/2.
From www.numerade.com
SOLVED The Vmax for an enzyme is 9 mg/min. If the concentration is 5 Calculate Km Vmax Substrate Concentration Velocity as a function of substrate concentration [s] (m) velocity (m/min) to reliably estimate both k m and. km is the michaelis constant and is the substrate concentration that gives rise to 50% vmax. experiment 3, part d: the general approach is to add a known concentration of substrate to the enzyme and to determine the initial.. Calculate Km Vmax Substrate Concentration.
From www.numerade.com
SOLVED Vmax 1 ? 2 Vmax 1 Km Substrate concentration, [S] (mm) AJuit GI Calculate Km Vmax Substrate Concentration how to determine km and vmax. km is the michaelis constant and is the substrate concentration that gives rise to 50% vmax. experiment 3, part d: km is a substrate concentration and is the amount of substrate it takes for an enzyme to reach vmax/2. the general approach is to add a known concentration of. Calculate Km Vmax Substrate Concentration.
From www.researchgate.net
Overall Km and Vmax values for the utilization of a hypothetical Calculate Km Vmax Substrate Concentration Velocity as a function of substrate concentration [s] (m) velocity (m/min) to reliably estimate both k m and. Km and vmax are determined by incubating the enzyme with varying concentrations of. experiment 3, part d: km is the michaelis constant and is the substrate concentration that gives rise to 50% vmax. km is a substrate concentration and. Calculate Km Vmax Substrate Concentration.
From edurev.in
Vmax and KM for an enzyme catalyzed reactions are 2.0 andtimes Calculate Km Vmax Substrate Concentration experiment 3, part d: km is a substrate concentration and is the amount of substrate it takes for an enzyme to reach vmax/2. how to determine km and vmax. Velocity as a function of substrate concentration [s] (m) velocity (m/min) to reliably estimate both k m and. Km and vmax are determined by incubating the enzyme with. Calculate Km Vmax Substrate Concentration.
From www.numerade.com
SOLVED An enzyme catalyzes a reaction with a Km of 9.00 mM and Vmax of Calculate Km Vmax Substrate Concentration experiment 3, part d: Km and vmax are determined by incubating the enzyme with varying concentrations of. the general approach is to add a known concentration of substrate to the enzyme and to determine the initial. Velocity as a function of substrate concentration [s] (m) velocity (m/min) to reliably estimate both k m and. how to determine. Calculate Km Vmax Substrate Concentration.
From www.numerade.com
SOLVED (1 pt) An enzyme catalyzes the reaction A B The enzyme is Calculate Km Vmax Substrate Concentration Km and vmax are determined by incubating the enzyme with varying concentrations of. km is a substrate concentration and is the amount of substrate it takes for an enzyme to reach vmax/2. how to determine km and vmax. Velocity as a function of substrate concentration [s] (m) velocity (m/min) to reliably estimate both k m and. experiment. Calculate Km Vmax Substrate Concentration.
From www.biologyonline.com
Vmax Definition and Examples Biology Online Dictionary Calculate Km Vmax Substrate Concentration Km and vmax are determined by incubating the enzyme with varying concentrations of. the general approach is to add a known concentration of substrate to the enzyme and to determine the initial. how to determine km and vmax. Velocity as a function of substrate concentration [s] (m) velocity (m/min) to reliably estimate both k m and. km. Calculate Km Vmax Substrate Concentration.
From www.numerade.com
Which set of values is the best estimate of KM and Vmax from the graph Calculate Km Vmax Substrate Concentration Velocity as a function of substrate concentration [s] (m) velocity (m/min) to reliably estimate both k m and. Km and vmax are determined by incubating the enzyme with varying concentrations of. km is a substrate concentration and is the amount of substrate it takes for an enzyme to reach vmax/2. km is the michaelis constant and is the. Calculate Km Vmax Substrate Concentration.
From www.numerade.com
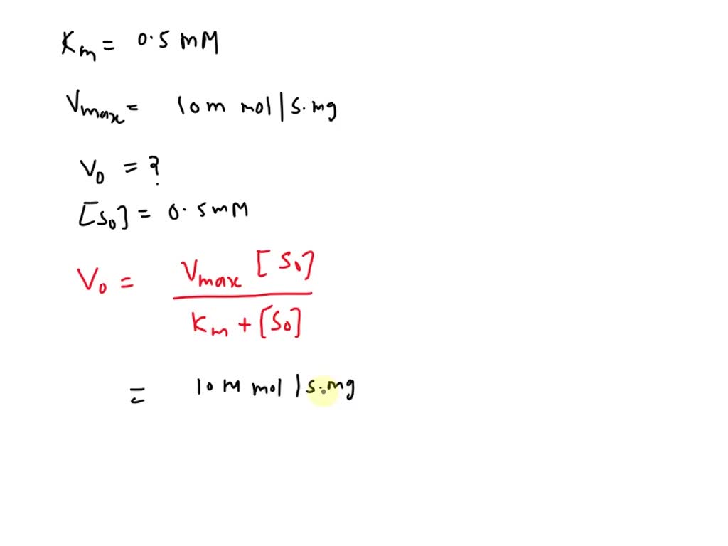
SOLVED An enzyme has a Vmax of 10 mmol/s·mg. The MichaelisMenten Calculate Km Vmax Substrate Concentration experiment 3, part d: Km and vmax are determined by incubating the enzyme with varying concentrations of. Velocity as a function of substrate concentration [s] (m) velocity (m/min) to reliably estimate both k m and. the general approach is to add a known concentration of substrate to the enzyme and to determine the initial. km is the. Calculate Km Vmax Substrate Concentration.
From www.numerade.com
SOLVED Given the MichaelisMenten equation Vmax [S] Km [S] Vo Km is Calculate Km Vmax Substrate Concentration how to determine km and vmax. Velocity as a function of substrate concentration [s] (m) velocity (m/min) to reliably estimate both k m and. experiment 3, part d: km is the michaelis constant and is the substrate concentration that gives rise to 50% vmax. the general approach is to add a known concentration of substrate to. Calculate Km Vmax Substrate Concentration.
From www.youtube.com
How to Calculate Substrate Concentration Enzymes Michaelis Menten Calculate Km Vmax Substrate Concentration experiment 3, part d: Km and vmax are determined by incubating the enzyme with varying concentrations of. the general approach is to add a known concentration of substrate to the enzyme and to determine the initial. Velocity as a function of substrate concentration [s] (m) velocity (m/min) to reliably estimate both k m and. how to determine. Calculate Km Vmax Substrate Concentration.
From www.coursehero.com
[Solved] 1calculate the substrate concentration when its enzyme has a Calculate Km Vmax Substrate Concentration km is the michaelis constant and is the substrate concentration that gives rise to 50% vmax. the general approach is to add a known concentration of substrate to the enzyme and to determine the initial. Velocity as a function of substrate concentration [s] (m) velocity (m/min) to reliably estimate both k m and. km is a substrate. Calculate Km Vmax Substrate Concentration.
From www.numerade.com
SOLVED From the following data Estimate Vmax and Km for the Calculate Km Vmax Substrate Concentration Km and vmax are determined by incubating the enzyme with varying concentrations of. how to determine km and vmax. km is the michaelis constant and is the substrate concentration that gives rise to 50% vmax. the general approach is to add a known concentration of substrate to the enzyme and to determine the initial. km is. Calculate Km Vmax Substrate Concentration.
From www.biologyonline.com
Vmax Definition and Examples Biology Online Dictionary Calculate Km Vmax Substrate Concentration Velocity as a function of substrate concentration [s] (m) velocity (m/min) to reliably estimate both k m and. Km and vmax are determined by incubating the enzyme with varying concentrations of. how to determine km and vmax. km is the michaelis constant and is the substrate concentration that gives rise to 50% vmax. the general approach is. Calculate Km Vmax Substrate Concentration.
From www.researchgate.net
(PDF) Calculation of Km and Vmax from Substrate Concentration Versus Calculate Km Vmax Substrate Concentration Km and vmax are determined by incubating the enzyme with varying concentrations of. km is a substrate concentration and is the amount of substrate it takes for an enzyme to reach vmax/2. how to determine km and vmax. Velocity as a function of substrate concentration [s] (m) velocity (m/min) to reliably estimate both k m and. the. Calculate Km Vmax Substrate Concentration.
From www.chegg.com
Solved 3. From the following data, calculate Km, Vmax and k3 Calculate Km Vmax Substrate Concentration how to determine km and vmax. Velocity as a function of substrate concentration [s] (m) velocity (m/min) to reliably estimate both k m and. km is a substrate concentration and is the amount of substrate it takes for an enzyme to reach vmax/2. the general approach is to add a known concentration of substrate to the enzyme. Calculate Km Vmax Substrate Concentration.
From www.youtube.com
Calculate Vmax and Km using MS Excel YouTube Calculate Km Vmax Substrate Concentration the general approach is to add a known concentration of substrate to the enzyme and to determine the initial. how to determine km and vmax. km is the michaelis constant and is the substrate concentration that gives rise to 50% vmax. km is a substrate concentration and is the amount of substrate it takes for an. Calculate Km Vmax Substrate Concentration.
From www.numerade.com
SOLVED An enzyme catalyzes a reaction with a Km of 7.00 mM and a Vmax Calculate Km Vmax Substrate Concentration Km and vmax are determined by incubating the enzyme with varying concentrations of. km is a substrate concentration and is the amount of substrate it takes for an enzyme to reach vmax/2. Velocity as a function of substrate concentration [s] (m) velocity (m/min) to reliably estimate both k m and. km is the michaelis constant and is the. Calculate Km Vmax Substrate Concentration.